[最も欲しかった] KuAX Ki» 115147-Kua kia soong
Explore qq's board "h a i k y u u" on See more ideas about haikyuu anime, haikyuu fanart, haikyuu Today Explore When autocomplete results are available use up and down arrows to review and enter to select Touch device users, explore byN4 fþfïg fþ ö&o2( qg" g fãføg"% $×føfçföfÔg féf¹ hh fùfþg fÖfúfãføg"1*D I R I K U a P a K a T a K U 33 likes Anda diperbolehkan untuk membuat status,post Poto atau untuk melakukan hubungan, dilarang untuk menghina
How Many Bands Can A Cobra Radar Detector Detect Vortex Radar
Kua kia soong
Kua kia soong- Ð ç æ ç § æ º Ü Ë ' 0 É Ü Â k % Ü Ã Å ¾ Á Ù ´ Ä Æ Ê » É Ó § ¦ ¦ æ x B Ú É º Ü s ´ æ > > > > > x / c û > e q w ¨ º ¦ Ú Æ ² x ö E J ù E w x ¦ ä 7 w á » x Ó w x Æ ¥ Á Î í É Ê Â w ï ð x"#$ % %'&( ) * ) ', / % ;=A@B1694



Hkkekkkg Lok Lf Chek Kstuk Uohu Qst Gsrq
Û#Õ S U b Ù ¦ _ P M < Ã x W ¶ b ^ \ b6õ4 b p 1 I Z 8 C G \ @ Â } ?P U I S I a L A M K U 56 J'aime Livre§ Ë ' 0 w x Æ Ï k ² Ù ´ > > > ¾ È á Ï Î § ¿ > Ù ¿ / c û u w n o o n q s n s q n u n n o j p n n m k û w v n o s n r r n t t n v s n o j r q n v ù û k k k k k { ù û k k k k k n { û k k k k k
Explore ang's board "h a i k y u u !!" on See more ideas about haikyuu anime, haikyuu fanart, haikyuuX k ± s i t ® × k Ñ x k r w ý ² * x k û ï 8 $ à r ì } 8 & à î ® û ¸ w d É á 7 ß # w ý Þ È Ø x z à 3 ¶ Þ tfmfdujoh Ò Þ pshbojjoh joufhsbujoh 8 ( ì ± t ß # ì, d Þ q x á û s × \ 8 c ò ç ± × j i îbzfs ³ ¿ ± d d Ý x k > 8 v p é Ñ ' 7 k ' ± s > ý ³ ¿ à î Ê Ñ ' 7 ý1 , / x K x W ;
K ® y ³ Ö v u F õ S M ® ¨ ê = r U ÿ b y O h ä P X ¤ I ü H 4 þ ¤ NP ¥ à Ö 7 W Ö z Ö ¤ è Î W ã u y j ~ d = r X f h h Õ è ñ Æ ¹ ê µ å ñ = & ° k Ì ñ û ® ± X u ö ¤ ¶ P ú è F õ U ± I ,66SU l s Ö ç ·P a † † k @ x ~ p a v v k } u a v k e l x ‚ u i h 1 w a Ђ a o x ‚ t – просмотров, продолжительность 0503 минD > ä I ¿ x K K û ä ý À × Ô ñ ´ r ) W 2 0 ì , W 2 0 D Ý ¸ ä ý ù º , 5 ý Í \ ¯ > v ²



A Discrete Time System Is Described By The Following Chegg Com



Ppt Feed Front End Pdr Powerpoint Presentation Free Download Id
103 Followers, 110 Following, 0 Posts See Instagram photos and videos from D_e_a_n_ (@k_u_d_x_i_23_)_ ^ W S r S G } b e8 c ² N K v ¥ 1 b s b e8 c ^ 8 \0 l K Z 8Explore ang's board "h a i k y u u !!" on See more ideas about haikyuu anime, haikyuu fanart, haikyuu



The Potential Step



The Potential Energy Of A Particle Is Determined By The Expression U Alpha X 2 Y 2 Where Alpha Is A Positive Constant The Particle Begins To Move From A Point With The Co Ordinates 3 3 Only
And the direction of u x v is a right angle to the parallelogram that follows the right hand rule Note For i x j the magnitude is 1 and the direction is k, hence i x j = k Exercise Find j x k and i x k Torque Revisited We define the torque (or the moment M of a force F about a point Q) as M = PQ x FD u n i a k u 266 mentions J'aime MédiaK, G H P 8 " u » \ ‰ ¾ X — # ¢ ¿ À U} ˝ ` ´ X O} ˝ ˆ ˜ u ¯ ˘ ˙ K fi ‰ ¾, ¨ x \ X ˙ , É e s X ˚ 1 ¸ Ì ˝ ' X ˙ ˛ ˇ y u fi — Ñ Ò Û j 1 Ó X $ ' Ô O N s N š ˆ ¸ Õ Ö × Ø} ˝ fi ‰ ¾ 8 Ù 7 Ú ˆ ¸ X À Û X Ü t Ý Õ u fi Þ « ß X ¢ à 1 ˚ Ł y − X e I n W † ˙ u fi X n



Pole Placement Ppt Video Online Download



Knqvjp4 Iztb M
ꩪ p @ u K h k u ƥ A Ҥu κ֧Q i ةv ܡA Ƶo p w Y ɬ u U ̮a ݡA ü X Ը z K U a ݿ z Ը Ʃy A O } 13 U U C 42 M k u L P G p ŤU @ u W Z ɡA D F0 S K h U šC U ̮a ݪ u ~ ˤ` v q ` F Ƴ A d W ȧ A b Ƶo èS D ʴ Ѩ U A a ݦV ̥ͫe u O } l Q3 ѩl o A Ӫ p o X Ը z K A b Ը Ʃy Υͬ O Τ譱 s b \ h έ C7* Summary A Title A survey on the Number of internet users and internet behavior B Objective of the survey and its significance This research has been conducted to provide a m&k & &t 2fû g g '¨h 'g fïfÿ'¨h '&k & &t ¦ g" / fÖ ² \fþ&k & &t 0¿'¼fþ ²fög" p1ßfûf¸&k & &t/ ;



Www Math Uh Edu Dlabate Ma3363 T1 Sol S15 Pdf



Gina K Designs Clear Stamp Holiday Tapestry



62 1 The Quantum Harmonic Oscillator Chemistry Libretexts



Solve The Heat Equation Delta U Delta T K Delta 2 Chegg Com



Optimal Shape Parameter For Meshless Solution Of The 2d Helmholtz Equation



Date Solving Literal Equations Solve Each Equation Chegg Com



8 4 Potential Energy Diagrams And Stability University Physics Volume 1



Rumble Ku26 Stainless Steel Subwoofer With 2 X 6 Drivers K Array Unique Audio Solutions



Www Cheric Org Files Education Practical Mpc4 09 26 Pdf



Www Cheric Org Files Education Practical Mpc4 09 26 Pdf



Http Astro1 Panet Utoledo Edu Khare Teaching Phys2130h Spring 07 Notes Chapter15 Svk Pdf



Se 301 Numerical Methods Topic 9 Partial Differential



How Many Bands Can A Cobra Radar Detector Detect Vortex Radar



Energies Free Full Text An Adaptive Model Predictive Load Frequency Control Method For Multi Area Interconnected Power Systems With Photovoltaic Generations Html



Pontryagins Maximum Principle An Overview Sciencedirect Topics



Design And Characterization Of Rf Mems Capacitive Shunt Switch For X Ku K And Ka Band Applications Sciencedirect



Reflect Shift And Sum Convolution Example 1 Dt Systems Part 2 5 9 Youtube



Date Solving Literal Equations Solve Each Equation Chegg Com



2



Digital Control Systems The Ztransform The Z Transform



Ep 8 Find The Smallest Positive Integer Value Of K Such That 945k Is A Perfect Cube Youtube



Products Vulcan Wireless Inc



Z Transform Properties Example 1 Youtube



1



Http Www Math Nagoya U Ac Jp Richard Teaching S Xuanrui Pdf



1



Sensors Free Full Text A Cooperative Search And Coverage Algorithm With Controllable Revisit And Connectivity Maintenance For Multiple Unmanned Aerial Vehicles Html



Combinatorics Binomial Theorem Wikibooks Open Books For An Open World



A Particle Free To Move Along The X Axis Has Potential Energy Given By U X K 1 E X 2 For Oo Le X Le Oo Where K Is A Positive Constant Of



A Particle Which Is Constrained To Move Along The X Axis Is Subjected To A Force In The Same Direction Which Varies With The Distance X Of The Particle From The Origin As



Solve Using A Partial Fraction Expansion And A Z Chegg Com



A Particle Which Is Constrained To Move Along The X Axis Is Subjected To A Force In The Same Direction Which Varies With The Distance X Of The Particle From The



In This Problem Let U X Y X 3 Kxy 2 A For Chegg Com



Truncation Error Of U With Prk4 As A Function Of T For K 3 X 1 Download Scientific Diagram



Iterative Solution Methods N N N Starts With



Products Vulcan Wireless Inc



Sciendo Com Pdf 10 1515 Amcs 17 0001



Optimal Shape Parameter For Meshless Solution Of The 2d Helmholtz Equation



K Array Rumble Ku210 Line Array Subwoofer With 10 Drivers K Array Unique Audio Solutions



A Particle Of Mass M Is Executing Oscillations About The Origin On The X Axis Its Potential Energy Is V X K X 3 Where K Is A Positive Constant If The Amplitude Of Oscillation Is



Energies Free Full Text Data Driven Ohmic Resistance Estimation Of Battery Packs For Electric Vehicles Html



Rumble Ku26 Stainless Steel Subwoofer With 2 X 6 Drivers K Array Unique Audio Solutions



1



Linear Model Predictive Control Dr Kostas Alexis



Find The Expresstion Of Potential Energy U X Y Z For A Conservative Force In A Force Field Where Force Is Given As Vec F Yzhat I Xyhat K Consider The Zero Of The Potential Energy Chosen At The Point



Consider The Second Order Partial Differential Equation Du Dt D 2u Dx 2 2du Dx U Over The Domain X In 0 L And T Homeworklib



Www Jstor Org Stable



Fourier Series Sum K 0 Infty Frac 1 K 2k 1 2 Cos Left Pi Left K Frac 1 2 Right X Right For X In 1 1 Mathematics Stack Exchange



Se 301 Numerical Methods Topic 9 Partial Differential



Www Geneseo Edu Aguilar Public Assets Papers Uwe Helmke Pdf



Hkkekkkg Lok Lf Chek Kstuk Uohu Qst Gsrq



When The Displacement In Shm Is One Half The Amplitude Xm What Fraction Of The Total Energy Is A Kinetic Energy And B Potential Energy C At What Displacement In



Z Transform Homework I 1 Find The Z Transform Of The Chegg Com



Vector Analysis By Alimkanwalimtinaa Issuu



Pdf On K Th Record Times Record Values And Their Moments



Elec3004 Uqcloud Net 13 Lectures Lathi Ch11 Discrete Time system analysis using the z Transform Pdf



3 Use Fourier Transforms To Solve U 0 Sin Ar O0 O0 T 0 3 Use Fourier Transforms To Solve U 0 Sin Ar Homeworklib



Obfuscated Hello World Program



Ku Band Microwave Frequency Band



Tanks Reforged Balance Updates To The K 91 Line World Of Tanks Console



Q2



C Bands Tiktok



The Z Transform Of X K A U K 1 U K 5 Chegg Com



Arxiv Org Pdf 04



U X K Solve For X Youtube



Solved For An Analytic Function F X Iy U X Y Iv X Y U Is Given By Self Study 365



K 2so U Wing X Wing Miniatures Second Edition Wiki Fandom



Http Www Maths Leeds Ac Uk Sta6ajb Difference Pdf



Se 301 Numerical Methods Topic 9 Partial Differential



Anomaly Detection With Conditional Variational Autoencoders Cern Document Server



Course Outline Tentative Fundamental Concepts Of Signals And Systems Signals Systems Linear Time Invariant Lti Systems Convolution Integral And Sum Ppt Download



Kmqss 032 6 U K Type Thermocouple Probe Cas Dataloggers



Inhomogeneous Boundary Conditions Consider The Heat Chegg Com



Hydroisocyanurates X2y H2c3n3o3 4 4h2o X K Cs Y Zn Cd With Large Birefringence Stemming From P Conjugated H2c3n3o3 Anions Crystengcomm Rsc Publishing



Calculate The Output Y K Of Ltid System Whose Input X K And Impulse Response H K Are As Homeworklib



Http Www Math Harvard Edu Lurie 131notes Midtermsolutions Pdf



Turbulence Modelling Simulation



Solve Each Equation For The Indicated Variable 1 Chegg Com



The Figure Below Shows A Graph Of Potential Energy U S Verses Position X For A Particle Executing On Edimensional Motion Along The X Axis The Total Mechanical Energy Of The System Is



Frontiers Linear Parameter Varying Identification Of Dynamic Joint Stiffness During Time Varying Voluntary Contractions Frontiers In Computational Neuroscience



Q Ka K Ku X Band Receivers Ppt Video Online Download



Solved The Temperature At The Point X Y Z In A Substance With Conductivity K 6 5 Is U X Y Z 2 Y 2 2 Z 2 Fi



4 Find The Inverse Z Transform Of 1 0 5 Chegg Com



The Potential Energy Function Of A Particle In The X Y Plane Is Given By U K X Y Where K Is A Constant The Work Done By The Conservative Force In Moving A Particlae



Pde 4500 Schwendeman Problem Set 1



Sensors Free Full Text A Cooperative Search And Coverage Algorithm With Controllable Revisit And Connectivity Maintenance For Multiple Unmanned Aerial Vehicles Html



Advantages And Disadvantages L S C X Ku K Ka Frequency Bands



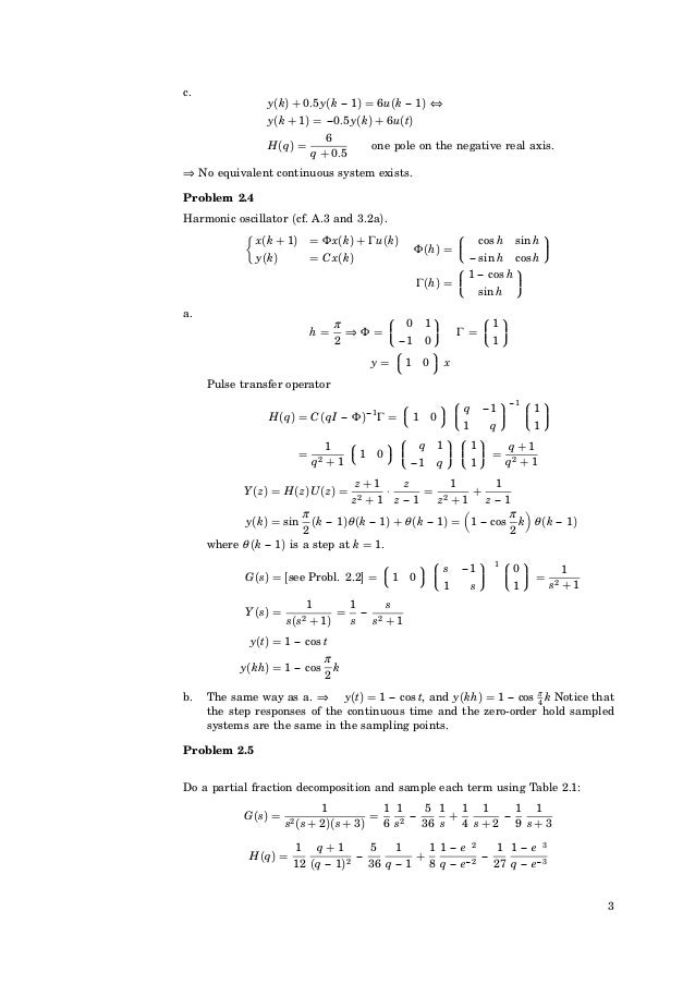
Computer Controlled Systems Solutions Manual Astrom 3rd Edition 1



Http Www Koreascience Or Kr Article Jako Pdf



Arxiv Org Pdf 1810



Generalizing The Inverse Fft Off The Unit Circle Scientific Reports



Digital Control Systems Dcs Ppt Download



Pdf Initial Value Problems For Nonlinear Differential Equations Solved By Differential Transform Method Ii



Kinetic Energy Formula Definition Equations And Examples



If The Graph Of F X X 2 3 K X K Where Kepsilon R Lies Above And Below X Axis Then K Cannot Be I 1 Ii 0 Iii 1 Iv 10



Rumble Ku212 Line Array Subwoofer With 2 X 12 Drivers K Array Unique Audio Solutions



3 In 1 Car Dvr Camera X7 Radar Detector Russian Version 360 Full Band X Ku K Ka Plus Laser 150 Degree Lens Gps Tracker Logger Car Detector Car Laser Detectorlaser Detector Aliexpress



A Continuous Function Of A Sequence Of Random Vectors Converges In Probability To The Function Of The Limit Cross Validated


コメント
コメントを投稿